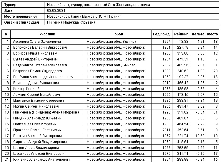
03.08.2024 г., турнир, посвященный Дню Железнодорожника